

貨號
產品規格
售價
備注
BN14027-20 mg
20 mg
¥280.00
產品描述
應用范圍:膜電位染色
產品參數
外觀:可溶于 DMSO 或 DMF 的橘紅色固體
λEx/λEm (MeOH) = 482/497 nm
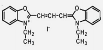
CAS 號:905-96-4
分子式:C21H21IN2O2
分子量:460.31
分子結構圖:

貯存條件 -20℃ 避光保存,保質期一年。
產品介紹
DiOC2(3) (3,3′-Diethyloxacarbocyanine, 碘化物)是一種廣泛應用的膜電位探針。如用于線粒體膜電位的研究,DiOC2(3) 能夠穿透真核細胞的細胞質,在濃度低于 100 nM 時,染料在具有活躍膜電位的線粒體中積累,形成紅色熒光聚集體,當使用破壞線粒體膜電位的(如 CCCP )處理細胞時,DiOC2(3) 染色強度降低。
DiOC2(3) 染色的細胞可以通過流式細胞儀的藍色激發, 綠色和紅色發射可視化。該試劑可與其他試劑搭配使用,例 如紅色激發的 Annexin V–APC,用于活力和凋亡的研究。
使用方法(線粒體膜電位檢測)
DiOC2(3) 標記細胞
由于細胞類型、培養條件的差異以及應用方向的不同,建議起始濃度 50 nM 摸索最佳染色條件。
將 DiOC2(3) 溶于無水 DMSO 配制成 100 mM 的儲 液:向管中加入 435 μL 的無水 DMSO,充分溶解。每次實驗前,需將儲液充分渦旋混勻。
開始實驗前,將 DiOC2(3) 和 CCCP 恢復至室溫。
1.1 用預熱的培養基、磷酸鹽緩沖液或其他緩沖液重懸細胞,使細胞最終密度為 1×10^6 個/mL。
1.2 設置對照,向管中加入 1 μL CCCP 溶液至終濃度為 50 μM,37℃孵育 5 min。
注:CCCP 可以和 DiOC2(3) 同時添加。為了獲得不同細胞類型的最佳效果,可能需要滴定 CCCP。
1.3 配置合適濃度的 DiOC2(3)工作液,加入工作液至終濃度為 50 nM,37℃ 孵育 15-30 min。如果進行其他標記,如用 Annexin V 結合物標記,請執行步驟 2.1;如果不需要其他染色,請繼續執行以下步驟。
1.4 (可選)清洗細胞一次,向每個細胞管中加入適量預熱的 PBS 緩沖液。
1.5 1000 rpm 離心 5 min 1.6 向每個管中加入 500 μL PBS 緩沖液,輕彈管壁使其重懸。
1.7 使用 YF488 染料的發射濾光片在 488 nm 激發下進行流式分析。用 CCCP 處理的樣品調節補償。
Annexin V 結合物額外標記
可以用額外的標記方法檢測 DiOC2(3) 染色后細胞的凋亡及生存狀態。如用 Annexin V–APC 標記:
2.1 向步驟 1.3 的細胞中加入適量預熱的 PBS 緩沖液洗 滌細胞一次。
2.2 1000 rpm 離心 5 min,然后重懸于 100 μL 1×Annexin 結 合緩沖液中。
2.3 加入 5 μL Annexin V 結合物(如 Annexin V–APC)。
2.4 37℃ 孵育 15 min。
2.5 加入 400 μL Annexin 結合緩沖液。
2.6 用適合于 YF488/PI 和 YF633 染料的發射濾光片在 488 nm 和 633 nm 激發下進行流式分析。
注意事項
1. 熒光染料均存在淬滅問題,請盡量注意避光,以減緩熒光淬滅。
2. 為了您的安全和健康,請穿實驗服并戴一次性手套操作。